in Whole Blood by LC-MS/MS
단순한 스펙 나열이 아닙니다. 실무 환경에서 마주하는 변수와 그에 대한 해결책을 비교 분석합니다.
질량분석기의 최대 적인 '인지질(Phospholipids)'만 선택적으로 걸러내어, 일반 단백질 침전법(PPT) 처리 시 발생하는 이온화 억압(시그널 감소) 현상을 방어하는 마법의 필터 플레이트입니다.
매트릭스(시료 찌꺼기)가 타겟 물질과 함께 질량분석기로 들어가 분석 장비의 눈을 가려 시그널(감도)이 뚝 떨어지는 현상을 말합니다.
| 항목 | 상세 조건 |
|---|---|
| Column | Kinetex 2.6 µm Biphenyl 50 x 3.0 mm |
| Part No. | 00B-4622-Y0 |
| Mobile Phase | A: 0.1 % Formic Acid in Water, B: 0.1 % Formic Acid in Methanol |
| Gradient | Time (min) 0.00: 15% B, 3.50: 95% B, 5.00: 95% B, 5.01: 15% B, 7.00: 15% B |
| Flow Rate | 0.5 mL/min |
| Injection Volume | 5 µL |
| Temperature | Ambient |
| LC System | Agilent 1260 Infinity |
| Detector | SCIEX 4500 Triple Quad (ESI Positive) |



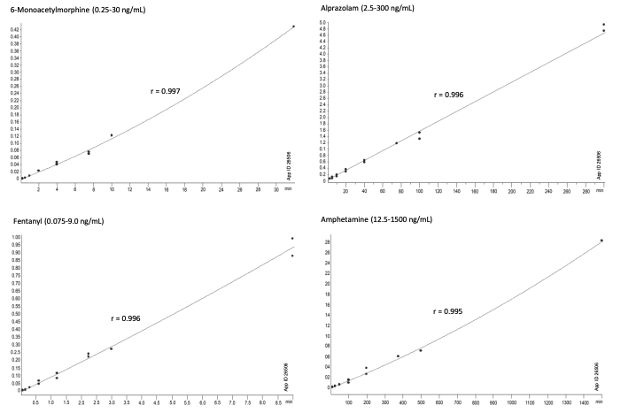
일반적인 단백질 침전법(PPT)만으로는 전혈에 다량 존재하는 인지질을 제거할 수 없습니다. 연구 결과 Phree PLR을 통과시킨 시료는 PPT 대비 인지질이 95% 이상 제거되어(Figure 2), 매우 안정적이고 높은 회수율(76~114%)을 보였습니다(Table 3). 특히 Biphenyl 컬럼의 독특한 선택성이 더해져, 39개의 복잡한 마약류 성분들을 단 7분 안에 베이스라인 수준으로 분리 및 정량할 수 있습니다.
Phree 필터는 0.1% Formic acid가 첨가된 Acetonitrile/Methanol (95:5)과 같이 유기 용매 비율이 높고 산성 조건일 때 인지질 제거 능력이 극대화됩니다.
추출액 양이 상대적으로 많으므로(약 600~800 µL), 질소 농축 시 온도를 40-45°C로 맞추어 신속하게 건조시키고 초기 이동상 조성을 맞춰 정량 오차를 줄이십시오.
전혈에 5% Zinc Sulfate를 선행 추가하면 적혈구 파괴와 추가적인 단백질 침전 효율을 월등히 높일 수 있는 꿀팁입니다.
Quantitative Analysis of Illicit Drugs of Abuse in Whole Blood by LC-MS/MS
원문 보기이 솔루션과 관련된 애플리케이션 노트 및 기술 문서를 확인하세요
파일명: Quantitative Analysis of Illicit Drugs of Abuse in Whole Blood by LC-MS-MS.PDF | TN-0157 Quantitative Analysis of Illicit Drugs of Abuse in Whole...
파일명: Drugs of Abuse Analysis by GCMS using a Zebron ZB-5MSplus.PDF | For additional technical notes, visit www.phenomenex.com Page 1 of 2 APPLICATION ...
파일명: Basic and Neutral Drugs of Abuse from Urine Using Strata Basic Screen.PDF | For additional technical notes, visit www.phenomenex.com Page 1 of 2 ...
파일명: Analyzing Drugs of Abuse from Hair.PDF | Page 1 of 8 Visit www.phenomenex.com/LiveChat to get in touch with one of our Technical Specialist......
파일명: An Optimized Workflow for Drugs of Abuse Testing Using Strata-X-Drug B Plus (TN-0127).PDF | For additional technical notes, visit www.phenomenex....
파일명: Forensics & Toxicology Guide.PDF | application guide www.phenomenex.com/ForensicsGuide --- Page 1 --- Diary of a Toxicology GumSho......