from Oral Fluid Using Quantisal Device
단순한 스펙 나열이 아닙니다. 실무 환경에서 마주하는 변수와 그에 대한 해결책을 비교 분석합니다.
피펫팅, 믹싱, 진공 처리 등 사람이 손으로 하던 모든 전처리 과정을 로봇 팔이 대신하여 24시간 일관된 품질을 유지하는 자동화 시스템입니다.
소변이나 혈액 채취와 달리, 감시 하에 쉽고 빠르게 채취할 수 있어 시료 오염이나 바꿔치기(Adulteration)가 불가능한 구강 점막 타액 시료입니다.
| 항목 | 상세 조건 |
|---|---|
| LC Column | Kinetex 2.6 µm Biphenyl 50 x 3.0 mm |
| Part No. | 00B-4622-Y0 |
| SPE Cartridge (Basic) | Strata-X-C, 30 mg in 3 mL (8B-S029-TBJ) |
| SPE Cartridge (Acidic) | Strata-X-A, 30 mg in 3 mL (8B-S123-TBJ) |
| Mobile Phase | A: 0.1% Formic acid in Water, B: 0.1% Formic acid in Methanol |
| Gradient | Time (min) 0: 10% B, 4: 95% B, 5: 95% B, 5.01: 10% B, 7.5: 10% B |
| Flow Rate | 500 µL/min |
| Liquid Handler | Tecan Freedom EVO® 100 |
| Detector | SCIEX API 5000™ (ESI+/-) |



구강 타액(Oral Fluid)은 채취 점막의 생물학적 오염과 보존액(Buffer) 성분 때문에 전처리가 매우 까다롭습니다. 이 메서드는 액체 취급 로봇(Liquid Handler)에 범용 3 mL 규격의 Strata-X-C(양이온) 및 Strata-X-A(음이온) 혼합 모드 SPE를 장착하여, 산/염기 조건의 40종 패널 약물을 사람 개입 없이 동시에 완벽히 정제해냈습니다. 생성된 극청정 시료는 SCIEX API 5000 질량분석기를 통해 최저 0.1 ng/mL 수준까지 정량 가능함을 증명했습니다.
음/양 두 가지 서로 다른 카트리지를 한 기기에서 멈춤 없이 런액션(Run Action)하기 위해서는, Wash 용매(Acetone/Water 50:50)를 동일하게 맞춰 스크립트를 단순화하는 것이 팁입니다.
염기성 화합물을 질소로 건조(Dry-down)할 때 휘발 방지를 위해 산성 혼합액(50 mM HCl/Methanol) 30 µL를 첨가하면 Free-base 형태로 날아가는 로스를 방지할 수 있습니다.
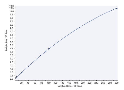
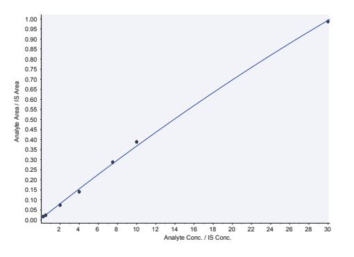
300 ng/mL 이상의 고농도에서는 질량분석기의 포화(Saturation) 현상으로 선형성이 꺾일 수 있으므로(Zolpidem 등), Quadratic(1/x) 회귀 모델을 적용해야 정확성을 유지할 수 있습니다.
Automated Sample Prep for Drug Research Panel from Oral Fluid Using Quantisal Device
원문 보기이 솔루션과 관련된 애플리케이션 노트 및 기술 문서를 확인하세요
파일명: TN-0104 Automated Comprehensive Oral Fluid Using a Quantisal Device.PDF | Sean Orlowicz Manager, PhenoLogix When not in the lab, Sean enjoys ju...
파일명: A Rapid Sample Preparation Method of Comprehensive Drug Panel Analytes from Oral Fluid Collection Devices using Strata-X-CW SPE.PDF | For additio...
파일명: Quantitation of Pain Panel Analytes from Oral Fluid Utilizing Microelution Solid Phase Extraction Coupled with LC-MS-MS.PDF | Shahana W. Huq Shah...
파일명: TN-0100 Oral Fluids Superior Sample Prep.PDF | Sean Orlowicz When not in the lab, Sean enjoys just about anything involving the outdoors: hikin...
파일명: Perfluoroalkyl Substances (PFAS) Analysis in Drinking Water, Sediments, and Food Samples by QuEChERS, SPE and LC-MS_MS.PDF | 1638724415_TP0425_W ...
파일명: The Alternative Matrix Guide- Hair and Oral Fluid Method Development.PDF | Hair and Oral Fluid Method Development Challenges www.phenomenex.c...
파일명: Fast Extraction of a Comprehensive Drug Research Panel from Oral Fluid (TN-0119).PDF | Sean Orlowicz When not in the lab, Sean enjoys just about...
파일명: The Impact of Social Media and Technology on the Science Industry.PDF | It specifies the various groups that benefit from social media in the lif...
파일명: LC-MRM-MS Method for the Detection and Quantification of Six Nitrosamine Impurities in Sartan (ARBs) Drugs (1).PDF | Conventional C18 columns pro...
더 많은 관련 문서를 찾고 계신가요?
검색 페이지에서 키워드로 추가 자료를 탐색해보세요